Polymer Congress 2018
Polymer Sciences
ISSN: 2471-9935
Page 62
June 04-05, 2018
London, UK
4
th
Edition of International Conference on
Polymer Science and
Technology
M
olecular dynamic (MD) model involving a graphene
platelet in polymer nanocomposite (GP) was developed in
order to investigate the effect of the interface interaction on the
mechanical properties of the nanocomposites when subjected
to the uniaxial loading. All simulations were done using JOCTA
software under COGNAC solver with full atomistic model.
Nanocomposites are constructed by embedding graphene
platelet into acrylate based polymer under the periodic
boundary condition with different interface interaction.
Nanocomposites systems underwent NPT (constant number
of atoms, pressure and temperature) and NVT (constant
number of atoms, volume and temperature) ensemble with
applied uniform strain during the MD simulations. In terms
of studying the effect of interfacial effect, the van der Waals
interaction energy potential between the acrylate polymer
and the graphene was changed and the tensile strength and
the ultimate stress were investigated. It can be concluded
that, increasing the interfacial interaction caused a significant
enhancement in mechanical properties of the simulated
nanocomposites as a result of the better load transfer
between matrix and the filler. It’s noteworthy to mention that
tensile strength and the ultimate stress also followed similar
tendencies. The simulation results demonstrated that the
graphene platelet caused an increase in the stiffness relative to
the polymer which implied the reinforcement effect of the filler
.
Recent Publications
1. Ommeaymen S et al. (2018) Molecular dynamic
simulation
of
carbon
nanotube
reinforced
nanocomposites: the effect of interface interaction on
mechanical properties. MOJ Poly. Sci.2(1):00038.
2. Gaoming D and Leon M (2014) Graphene reinforced
nanocomposites: 3D simulation of damage and fracture.
95:684-692.
3. Atsushi A, Toshio N and Mitsuhiro S (2012) Atomistic
molecular dynamics study of cross-linked phenolic
resins. Soft Matter. 8(19):5283-5292.
4. Kaihei T et al. (2014) A computer simulation of the
networked structure of a hydrogel prepared from a tetra-
armed star prepolymer. Soft Matter.10(20):3553-3559.
5. Sheikh F et al. (2013) Role of nanoparticle dispersion and
filler-matrix interface on the matrix dominated failure of
rigid C60-PE nanocomposites: a molecular dynamics
simulation study. Polymer. 54(10):2565-2576.
Biography
Ommeaymen Sheikhnejad obtained her PhD in the field of Chemical
Engineering from Harbin Institute of Technology, China and holds BS and
MS degrees in Pure Chemistry and Physical Chemistry respectively. She
has experience in both experimental and numerical parts. In her current
capacity, she works as a Researcher at the Institute of Polymer Product
Engineering (IPPE) at Johannes Kepler University, Austria where she is
working on the EU-funded project. She held this position from 2015 until
now. At present she is actively participating in both national and international
projects. Her main activities include the molecular dynamic simulation and
micromechanics simulation of the composites. She is also supporting
Bachelor’s and Master’s student in mechanical testing and simulation of
crosslinked hydrogels.
ommeaymen.Sheikhnejad-bishe@jku.atOmmeaymen Sheikhnejad et al., Polym Sci 2018, Volume 4
DOI: 10.4172/2471-9935-C2-012
Effect of interface interaction on the mechanical properties of
the graphene reinforced nanocomposites
Ommeaymen Sheikhnejad
1
, Takahiko Nakamoto
2
and
Zoltan Major
1
1
Johannes Kepler University Linz, Austria
2
Kanazawa University, Japan
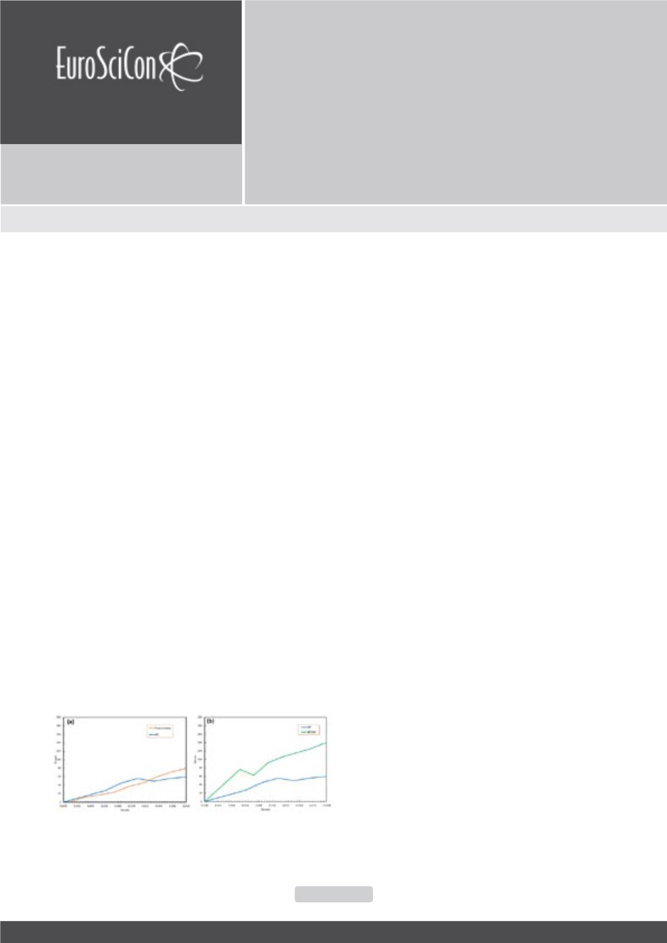
Figure 1:
Stress-strain curves comparison of (a) purematrix
andGP, (b) GP andGP100.




