Plasma
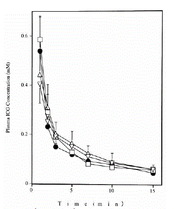
Figure 2. Plasma ICG clearance. Inverted triangles: control group; squares: pancreatitis group; triangles: endotoxemia group; closed circles: pancreatitis + endotoxemia group. Data represent the mean values ± SD. * P < 0.05 vs. control group..